Фемтосекундная лазерно-индуцированная анизотропия в решетках магнитных наночастиц
Учеными физического факультета МГУ в сотрудничестве с коллегами из университета Радбауд, Нидерланды (Prof. Alexey Kimel) исследована динамика эффекта наведенной оптической анизотропии в двумерной решетке наночастиц металла на диэлектрической подложке.
Оптические свойства упорядоченных ансамблей металлических и магнитных нано- и микрочастиц активно исследуются в настоящее время. Помимо проявления свойств отдельных частиц, в таких структурах возможно наблюдение коллективных эффектов, связанных с взаимным расположением и влиянием частиц в массиве. Данной тематике посвящено множество работ, в которых исследованы проблемы магнитооптических, в том числе сверхбыстрых, оптоакустических и нелинейно-оптических свойств структур [1-3]. В то же время, последовательного изучения механизмов формирования оптического и магнитооптического отклика двумерных решеток магнитных наночастиц, а также роли возбуждения акустических фононов в таких структурах проведено не было. В данной работе, выполненной Группой ученых физического факультета МГУ в сотрудничестве с коллегами университета Радбауд г. Наймеген, Нидерланды (Radbound University Nijmegen, the Netherlands), приведены результаты экспериментального исследования динамики наведенного оптического двулучепреломления и намагничивания в регулярном двумерном ансамбле магнитных субмикрочастиц.
Объектом исследования являлся массив магнитных частиц кобальта, упорядоченных в двумерную квадратную решетку с периодом 1.4 мкм на поверхности плавленого кварца. Толщина частиц составляла около 30 нм, их средний диаметр — около 600 нм. Структура была изготовлена методом электронно-лучевой литографии. Экспериментальное изучение сверхбыстрой динамики наведенного двулучепреломления и магнитооптического эффекта Керра было проведено методом «накачка-зондирование» (pump—probe technique). Метод заключается в использовании двух сверхкоротких лазерных импульсов, один из которых (накачка) изменяет состояние системы (выводит из равновесия), а второй через контролируемый интервал времени «считывает» поведение магнитной системы.
В наших исследованиях эксперименты были проведены с исследованием фемтосекундной лазерной системы, состоящей из титан-сапфирового лазера и параметрического усилителя света. Длина волны излучения накачки (pump) составила 800 нм, плотность потока энергии W?2.5 мДж/см2; длина волны зондирующего излучения (probe) 500 нм, плотность энергии приблизительно на 2 порядка меньше, чем в пробном луче; длительность импульса составляла около 80 фс. Зондирующий пучок был сфокусирован на поверхность образца в пятно с диаметром около 50 мкм. Измеряемой величиной являлся поворот плоскости поляризации линейно-поляризованного пробного излучения, отраженного или прошедшего через исследуемую структуру. При проведении магнитооптических измерений структура помещалась в меридиональное магнитное поле с напряженностью 2?5 кГс. Схема эксперимента приведена на Рис. 1.
Рисунок 1. (a) Схема эксперимента по изучению динамики поворота плоскости поляризации в массиве магнитных наночастиц в схеме «накачка-зондирование». (b) Типичная ависимость угла поворота плоскости поляризации пробного излучения от времени задержки относительно импульса накачки.
На Рис. 2 приведена типичная зависимость угла поворота плоскости поляризации зондирующего излучения, ?, от времени задержки ? пробного импульса относительно импульса накачки. Видно, что в результате возбуждения решетки кобальтовых частиц фемтосекундным лазерным импульсом проявляется ряд эффектов, приводящих к повороту плоскости поляризации пробного излучения и различимых по характерным временам релаксации. Условно весь исследованный временной диапазон можно разбить на три участка, обозначенных на рисунке I-III.
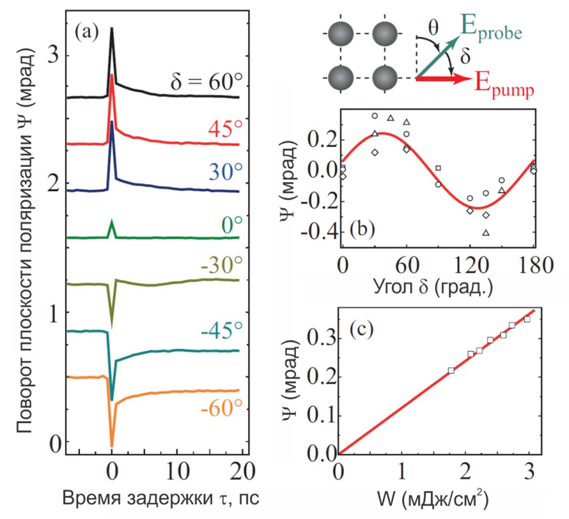
Рис. 2. Зависимости лазерно-индуцированного поворота плоскости поляризации пробного излучения (а) от времени задержки ? для различной взаимной ориентации плоскостей поляризации излучения накачки и пробного, ?, показанного на вставке наверху справа; максимальное значение сверхбыстрого поворота ? как функция (b) угла ? и (с) плотности мощности излучения накачки.
На первом, субпикосекундном временном интервале (?<1 пс), наблюдается резкое изменение исходной величины угла поворота плоскости поляризации пробного излучения с его последующим частичным восстановлением. отличительным свойством динамики оптического отклика структуры на этом временном интервале является ярко выраженная зависимость эффекта от взаимной ориентации плоскостей поляризации накачки и пробного излучения, которую можно характеризовать углом ?, приведенном на правой верхней вставке на рисунке. данный эффект можно проиллюстрировать с помощью рис. 2, на котором представлены зависимости ?(?) для р-поляризованного пробного излучения и различной поляризации накачки. измерения, проведенные для различных поляризаций обоих пучков, показали, что параметром, определяющим знак и величину эффекта, является именно угол ?, а ориентация плоскостей поляризации лазерных пучков относительно поверхностной решетки частиц не играет роли.
Можно заметить, что в случаях, когда плоскости поляризаций накачки и пробного луча параллельны или перпендикулярны, быстрого лазерно-индуцированного поворота плоскости поляризации не наблюдается; эффект максимален для δ=±45°, что хорошо видно на Рис. 2,b. Механизм данного эффекта состоит в оптически наведенном двулучепреломлении, индуцированном быстрой электронной керровской нелинейностью металлических частиц, с оптической осью, соответствующей плоскости поляризации мощного излучения накачки. Аппроксимация экспериментальных данных, выполненная с учетом симметрии тензора кубичной нелинейности изотропной среды, приведена сплошной линией на Рис. 2,b и находится в хорошем соответствии с экспериментом.
При временах задержки τ≈20÷400 пс менее в динамике зависимости Ψ(τ) наблюдаются быстрозатухающие осцилляции, демонстрирующие около двух периодов на данном временном интервале. Оказалось, что амплитуда и фаза данных осцилляций слабо зависит от относительной ориентации плоскостей поляризации накачки и пробного излучения, в отличие от рассмотренного выше случая. Было высказано предположение, что данный эффект объясняется возбуждением низкодобротных акустических колебаний в отдельных частицах кобальта, не взаимодействующих друг с другом. Оценки показали, что период данного типа осцилляций составил около 130 пс.
Рис. 3. (а) Зависимости угла поворота плоскости поляризации отвремени задержки ?, измеренные для двух противоположных направлений приложенного меридионального магнитного поля напряженностью 2 кГс (соответственно пустые и заполненнные круглыесимволы); а также их разница (незаполненные квадраты). (b) Схема трехтемпературной модели взаимодействия электронной, спиновой и фононной подсистем [3].
Был предложен следующий механизм эффекта. Поскольку кварцевая подложка является прозрачной для излучения накачки с длиной волны 800 нм, то поглощение в структуре определяется наличием наночастиц кобальта. При этом вначале будет наблюдаться мгновенный нагрев электронной системы, которая затем будет термализоваться в решетке кобальта на пикосекундных временах. В результате нагрева частиц кобальта в них будут возбуждаться акустические колебания, т. е. будет наблюдаться однородное расширение и сжатие частиц в плоскости структуры. Другими словами, в системе будут возбуждаться фотоны с волновым числом k, равном обратному размеру частиц. Соответственно, возбуждение когерентных фононов будет приводить к периодической модуляции диагональной составляющей диэлектрической проницаемости ?xx исследуемой структуры, которая, в свою очередь, приведен к осцилляциям наведенного в ней двулучепреломления. В результате в эксперименте наблюдаются осцилляции угла поворота плоскости поляризации пробного излучения. Качественно данный эффект проиллюстрирован на Рисунках 3,b и 4,c.
На том же временном интервале в массиве частиц кобальта наблюдались эффекты, обусловленные динамикой его магнитооптического отклика. Соответствующие результаты приведены на Рис. 3,а, на котором представлены зависимости угла поворота плоскости поляризации пробного излучения от времени задержки τ, измеренные для двух противоположных значений насыщающего меридионального поля (Н=2 кОе). На том же рисунке приведена разность этих двух временных зависимостей, характеризующая собственно динамику магнитооптического отклика исследуемой структуры, демонстрирующая релаксационный процесс с характерным временем около 100 пс. Данный магнитный вклад в динамику поворота плоскости поляризации связан, очевидно, с эффектом магнитного кругового дихроизма, соответствующего магнитной динамике наночастиц кобальта.
На Рис. 3,b изображена схема трехтемпературной модели, которая части используется для описания процессов магнитной динамики в ферромагнитных структурах. Согласно этой модели, возбуждение коротким лазерным импульсом приводит к сверхбыстрому (на временах около единиц фемтосекунд) росту температуры электронов и созданию их неравновесного распределения. Эта система вступает во взаимодействие с двумя другими резервуарами, а именно спиновым и фононным, постепенно релаксируя к своему исходному состоянию. Динамика этих процессов в большой степени определяется видом и параметрами вещества. Для 3d переходных металлов релаксация электронно-спиновой системы наблюдается обычно на субпикосекундных временах, приводя к сверхбыстрому (полному или частичному) размагничиванию структуры. Этот процесс проявляется в резком изменении угла Ψ при малых значениях τ, отчетливо заметном на Рис. 3,а. Последующая передача энергии от электронно-спиновой системы решетке металла наблюдается на значительно бóльших временах, что также видно по приведенным экспериментальным зависимостям.
Рис. 4. (а) Динамика поворота плоскости поляризации пробного излучения на больших временах задержки ?>600 пс для значений угла ?=0° и ?=45°, показанных на рис. (b); (c) схематичное изображение передачи энергии от частиц металла в подложку, в которой резонансно возбуждаются акустические фононы.
Наконец, при временах задержки пробного импульса относительно возбуждающего импульса накачки свыше 500?600 пс наблюдаются отчетливые осцилляции угла поворота плоскости поляризации зондирующего излучения. В данном случае можно говорить о достижении термического равновесия между частицами кобальта и кварцевой подложкой.
В эксперименте были выделены две моды осцилляций (см. Рис. 4,а), периоды которых, определенные из Фурье-анализа экспериментальных зависимостей, составили приблизительно 4.1 ГГц и 6.3 ГГц. Следует отметить, что отношение этих частит близко к значению √2. Было показано, что амплитуда и фаза этих колебаний не зависели от приложенного магнитного поля и длины волны пробного излучения, а также, что период осцилляций не зависит от поляризации излучение накачки.
В то же время, этот период определяется ориентацией плоскости поляризации зондирующего излучения относительно квадратной решетки металлических частиц: больший период соответствует случаю, когда пробное излучение поляризовано параллельно диагонали поверхностной решетки частиц, меньший период наблюдался в случае параллельности поляризации зондирующего излучения стороне решетки.
Согласно проведенному теоретическому рассмотрению, мощное излучение накачки приводит к возбуждению акустических колебаний в кварцевой подложке за счет резонансного возбуждения колебаний в регулярной решетке частиц металла. В свою очередь, эти колебания приводят к возникновению двулучепреломления в кварцевой подложке, что наблюдается экспериментально. Отметим, что излучение накачки возбуждает широкий спектр акустических мод в кварцевой подложке, однако только моды с частотами, соответствующими параметрам решетки металлических субмикрочастиц, обладают достаточно большим временем жизни и проявляются в экспрерименте.
Таким образом, в работе экспериментально исследована сверхбыстрая динамика наведенного двулучепреломления, а также магнитооптического эффекта Керра, в двумерной квадратной решетке субмикрочастиц кобальта. Выявлены основные механизмы данного эффекта для времен задержки пробного импульса относительно импульса накачки от единиц пикосекунд до наносекунд.
Работа выполнена при поддержке фонда РФФИ, грант №13-02-01102.
Список цитированной литературы:
1. D. Chanda, K. Shigeta, T. Truong et. al. // Nat. Commun., 2, 479 (2011).
2. D. Nardi, M. Travagliati, M. E. Siemens, Q. Li, M. M. Murmane, H. C. Kapteyn, G. Ferrini, F. Parmigiani, and F. Ban // Nano Lett., 11, 4126 (2011).
3. A. Kirilyuk, A. Kimel, Th. Rasing // Rev. Mod. Phys. 82, 2731 (2010).
4. O. G. Udalov, M. V. Sapozhnikov, E. A. Karashtin et. al. // Phys. Rev. B, 86, 094416 (2012).
Представленные результаты опубликованы в статье: Razdolski, V. L. Krutyanskiy, T. V. Murzina, Th. Rasing, A. V. Kimel, Femtosecond laser-induced optical anisotropy in a 2D lattice of magnetic dots. Phys. Rev. B 89, 064306 (2014).
Мурзина Т. В., Кафедра квантовой электроники





