Развитие теории ондуляторного излучения
Ондуляторное излучение (ОИ) было предсказано В. Л. Гинзбургом и это явление было экспериментально обнаружено Г. Мотцем (H. Motz) в середине двадцатого века. Физическая природа ОИ и синхротронного излучения (СИ) похожи — это излучение фотонов ускоренными релятивистскими электронами. В случае СИ они движутся по окружности в постоянном магнитном поле; в ондуляторе электроны движутся по осциллирующей траектории в периодическом магнитном поле на фоне релятивистского дрейфа вдоль оси ондулятора. ОИ находит широкое применение в науке и технике благодаря высокой направленности и интенсивности. Изучением СИ и ОИ активно занимались ученые физического факультета МГУ. Большой вклад внесли профессора кафедры теоретической физики Д.Д. Иваненко, A.A. Соколов, И.М. Тернов, а также профессор В.В. Михайлин и другие учёные физического факультета. За последние десятилетия теория СИ и ОИ достигла своего совершенства во многом благодаря их усилиям. Помимо процессов СИ с испусканием фотонов релятивистским электроном, рассматривались и процессы излучения других элементарных частиц с помощью разновидностей синхротронного механизма.
В настоящее время большое внимание уделяется исследованию взаимодействия электронов в ондуляторе с ОИ, что лежит в основе действия лазеров на свободных электронах (ЛСЭ). Отметим, что для создания ЛСЭ требуется ондулятор и электронные пучки высокого качества. Благодаря применению новых конструктивных подходов и схем, ЛСЭ быстро завоевывают области рентгеновского диапазона и активно используются для проведения фундаментальных исследований во многих областях физики, химии, биологии, и в других областях. Последние разработки в области техники и, в особенности, совершенствование ЛСЭ требует источников ОИ с заданными характеристиками, отвечающими новым потребностям; все большее применение получают высшие гармоники ОИ, позволяющие продвинуться в рентгеновскую часть спектра. Для этого часто используется двоякопериодическое магнитное поле и ондуляторы с большим числом периодов, требующие высокую точность изготовления. Это позволяет регулировать излучение гармоник, ослабляя излучение отдельных частот, для того чтобы избавиться от жесткой компоненты излучения, или, напротив, выделяя гармонику, требуемую для ЛСЭ. В этом контексте приобретает особую важность качество линий спектра ОИ. Их неизбежное уширение в реальных устройствах связано с разбросом энергий в электронном пучке, с расходимостью пучка и с потерями при его распространении из-за непериодических постоянных магнитных составляющих. Постоянные магнитные компоненты могут появиться за счет дефектов магнитной структуры или внешних наводок и могут превосходить другие негармонические компоненты, появляющиеся в уточненных математических моделях ОИ, удовлетворяющих уравнениям Максвелла. Для аналитического учета реальных условий работы ондуляторов и вклада вышеуказанных факторов, прямо влияющих на спектр и интенсивность ОИ, на кафедре теоретической физики проводятся исследований в области теории ОИ с применением техники обобщенных специальных функций.
раз слабее периодического поля, может влиять на ОИ, вызывая сдвиг траектории электрона на выходе ондулятора, в десятки раз превышающие амплитуду поперечных осцилляций электрона в ондуляторе.
. С усилением напряженности постоянного поля и увеличением длины ондулятора спектральная линия сильно расплывается, и интенсивность излучения уменьшается очень быстро. Например, в ондуляторе со 100 периодами и k = 1 получаем заметное искажение спектральной линии ОИ из-за магнитного поля Земли, а в ондуляторе с 200 периодами поле Земли нельзя пренебречь, оказывается выше критического для эффективной работы ондулятора. В этом случае необходимо предпринять все усилия для экранирования и компенсации влияния этого поля.
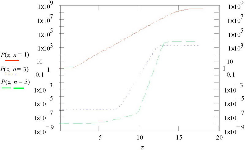
Недавно на кафедре теоретической физики был проведен точный аналитический расчет с применением обобщенных специальных функций для интенсивности излучения высших гармоник ондуляторов. Учитывался разброс энергий электронов в реальном пучке с заданной расходимостью.
. Полученные аналитические формулы для интенсивности спонтанного ОИ позволили получить количественные оценки работы ЛСЭ с таким ондулятором с учетом вкладов однородного и неоднородного уширения.
z ),0), N = 150 периодами и ондуляторным параметром k = 2, продемонстрированы на Рис. 1, где видно, что интенсивно излучаются основной тон и пятая гармоника, несмотря на её значительное уширение.
= 0.1:n=1 — красная линия, n=3 — зелёная линия, n=5 — желтая линия.
= 0.1:n=1 — красная линия, n=3 — зелёная линия, n=5 — желтая линия.
z ),0) приводит к излучению в основном третьей гармоники и основного тона, которые уширены, а пятая гармоника подавлена, как показано на Рис. 2.
Итак, разработанная учёными физического факультета МГУ теория ОИ учитывает практически все потери в реальных устройствах, описывая однородное и неоднородное уширение спектральных линий ОИ. Показано как влияние дипольной компоненты магнитного поля накладывается на эффекты неоднородного уширения в ондуляторе и изменяет форму спектра сложным образом, не просто сдвигая частоту или расширяя линию ОИ.
Причина резкого ухудшения характеристик ОИ при отсутствии компенсации Земного магнетизма и магнитных искажений заключается в их накапливании по всей длине ондулятора. Это приводит к формированию значительного эффективного угла изгиба и дополняется нежелательным эффектом неоднородного расширения спектра. Угол изгиба определяется исключительно силой постоянной составляющей магнитного поля, и он не может быть устранен поворотом ондулятора в пространстве. Другая проблема — это учет ошибок намагничивания, которые могут быть отрегулированы магнитным шиммированием.
z ),0). Высшие гармоники оказываются слабее, чем в идеале и их интенсивность ближе к той, которая получается в обычном плоским ондуляторе.
= 0.1.
= 0.1.
спонтанного излучения в режиме сильного сигнала с учетом потерь уменьшение мощности насыщения пятой гармоники на порядок. Соединение теории и практики произойдет уже в ближайшее время при строительстве новых ЛСЭ последнего поколения.
Ведущий научный сотрудник кафедрытеоретической физики К. В. Жуковский





